Jesus G
Antiguos Moderadores
Contribuidor de RE
Sin verificar
Buenas tardes a todos.
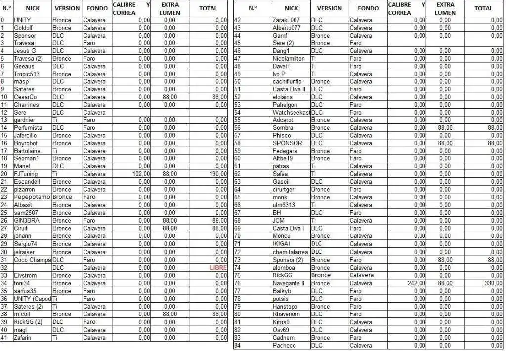
Os dejo el último listado de pagos actualizado..

Para cualquier duda en este tema, poneos en contacto con Unity..
[email protected]
Por favor;poneos al día aquellos compañeros que os quede algún pago por hacer.
Estamos pendientes del momento en el que se monten las primeras unidades..
Os informamos al instante...
Un abrazo de parte de Unity,Goldoff,Sponsor,ttravesa y mío

Os dejo el último listado de pagos actualizado..

Para cualquier duda en este tema, poneos en contacto con Unity..
[email protected]
Por favor;poneos al día aquellos compañeros que os quede algún pago por hacer.
Estamos pendientes del momento en el que se monten las primeras unidades..

Os informamos al instante...

Un abrazo de parte de Unity,Goldoff,Sponsor,ttravesa y mío


