posr500
Forer@ Senior
Verificad@ con 2FA
A raíz de encontrar casualmente un lindo reloj herramienta Seiko hace pocos días:
https://relojes-especiales.com/threads/un-viaje-al-pasado-con-un-reloj-herramienta-seiko.597124/
Revisé mi colección en busca de otras escalas que tienen los relojes que utilizo y luego de una reflexión sobre los hallazgos, considero enunciar la siguiente clasificación inicial adecuada para las diferentes escalas:
Escalas fijas: Son aquellas que se encuentran dentro de las esferas de los relojes o en sus biseles externos, pero con la particularidad de que no son movibles, sino que se encuentran ubicadas en forma fija por su funcionalidad, dentro de ellas tenemos las siguientes:
Gracias por llegar hasta acá, les presenté 10 escalas con sus clasificaciones realizadas a mi mejor criterio, les agradeceré complementar el hilo si conocen otras escalas adicionales, lo que puede llegar a ser una fuente de consulta para todos los colegas aficionados a los relojes herramientas.
Saludos cordiales desde La Paz, Bolivia.
https://relojes-especiales.com/threads/un-viaje-al-pasado-con-un-reloj-herramienta-seiko.597124/
Revisé mi colección en busca de otras escalas que tienen los relojes que utilizo y luego de una reflexión sobre los hallazgos, considero enunciar la siguiente clasificación inicial adecuada para las diferentes escalas:
Escalas fijas: Son aquellas que se encuentran dentro de las esferas de los relojes o en sus biseles externos, pero con la particularidad de que no son movibles, sino que se encuentran ubicadas en forma fija por su funcionalidad, dentro de ellas tenemos las siguientes:
- Segundos/minutos/horas: La escala más común que se puede encontrar en los relojes, establece cuanto tiempo llevan de recorrido los punteros de la hora, minuto y segundo dentro de los 360º que tiene su esfera (o los 60 marcadores que conlleva su recorrido completo), se tienen generalmente índices marcadores visibles cada 5 segundos/minutos/horas para facilitar la lectura. En algunos casos, los marcadores para los segundos son más detallados, como por ejemplo en el Omega Chronostop que permite leer hasta 1/5 de segundo:
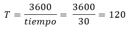
Función: Establecer el tiempo recorrido por las manecillas de reloj. - Taquímetro: Esta escala está ligada históricamente al desarrollo del cronógrafo mecánico como instrumento de medición de tiempos cortos. Con el auge de las carreras de autos y la evolución de la aeronáutica, las escalas taquimétricas se convirtieron en herramientas esenciales para medir velocidad.
Función: Permite calcular la velocidad media sobre una distancia conocida (normalmente 1 kilómetro).
Ejemplo de uso:
Teniendo el cronógrafo preparado se lo inicia al empezar con el recorrido de un vehículo (automóvil, tren, avión, etc.), al pasar un kilómetro de distancia se lo detiene y se observa en la escala taquimétrica el valor relacionado. Supongamos que pasaron 30 segundos, entonces se lee el valor asociado a 30 que es 120 en el taquímetro, lo que equivale a una velocidad de 120km por hora. La fórmula usada es:
Les presento 2 ejemplos de relojes con la escala taquimétrica:
- Telémetro: La escala telemétrica surge cuando los cronógrafos dejaron de ser simples herramientas de medición de tiempo y empezaron a incorporar escalas útiles para aplicaciones militares y de campo. La utilidad del telémetro fue ampliamente aprovechada en la Primera Guerra Mundial para estimar la distancia de los disparos de artillería (viendo destellos y midiendo el tiempo hasta escuchar el sonido).
Función: Calcula la distancia aproximada a un evento visible y audible basándose en el retraso del sonido.
Ejemplo de uso: Al ver un relámpago se arranca el telémetro y en cuando se llega a escuchar el trueno se lo detiene, asumamos que pasaron 9 segundos, revisamos la escala asociada al 9 y verificamos que marca 3 kilómetros, distancia a la cual aproximadamente cayó el relámpago. La fórmula empleada es:
- Pulsómetro: La escala de pulsómetro nació con los relojes médicos, cuando los doctores necesitaban un método rápido para medir el ritmo cardíaco usando cronógrafos calibrados con un número fijo de latidos o pulsos (generalmente 15 o 30).
Función: Permite determinar la frecuencia cardiaca por minuto midiendo el tiempo que tardan un número fijo de pulsaciones obteniendo los latidos por minuto.
Ejemplo de uso: Encontrar el pulso de la persona, inicial el cronógrafo y contar 15 o 30 pulsos según la calibración de la escala, detener el cronógrafo y ver la escala asociada, si los segundos fueran 24 y la escala base es 30, entonces la frecuencia sería de 75 latidos por minuto. La fórmula en este caso sería:
- Día del mes: La visualización del día del mes alrededor de la esfera es una evolución de los primeros calendarios integrados en relojes de bolsillo en el siglo XIX. Estos relojes cuentan con una aguja adicional generalmente con punta de flecha que señalan el día de la fecha (pointer date). En estos relojes, el mecanismo del reloj se encarga de mover la aguja de la fecha a la posición que le corresponde cada día.
Dos ejemplos de la escala:
- Escala de tiempo transcurrido: Cuentan con una escala graduada de 0 a 60 minutos, que en el caso de los relojes de buceo es unidireccional por seguridad, que permite medir el tiempo transcurrido en cualquier evento temporal, los biseles giratorios diseñados para relojes de buceo en la década de los 50s resolvieron las necesidades de los buzos profesionales para controlar los tiempos de inmersión.
Ejemplo de uso: Girar el bisel para alinear el marcador de 0 (que además tiene un triángulo prominente) con la aguja de los minutos al iniciar la inmersión, conforme avanza el tiempo, el minutero se desplazará y se puede leer la cantidad de minutos transcurridos directamente en el bisel. Si iniciaste la inmersión por decir a las 10:05, a las 10:25 habrán pasado 20 minutos bajo el agua.Se tienen relojes destinados al automovilismo o la aviación en los cuales el bisel tiene giro bidireccional. - Escala de cuenta regresiva: Tienen la escala a la inversa de 60 a 0 minutos, permiten visualizar el tiempo restante para un evento o actividad. La escala se expandió como una variación de la escala de tiempo transcurrido donde se requiere marcar tiempos decrecientes.
Ejemplo de uso: Se tiene una reunión de trabajo en 25 minutos, son las 7:25. Alineamos el marcador 25 del bisel de cuenta regresiva con la manecilla de minutos del reloj, si vemos el reloj a las 7:40 veremos que en el bisel faltan 10 minutos para la reunión. A las 7:50 será la hora de inicio de la reunión. - Escala de doble uso horario o GMT: Permite leer un segundo y en algunos casos hasta un tercer huso horario empleando la escala bidireccional giratoria de 24 horas que llevan y que es marcada por una aguja adicional de horas. La escala es muy útil para viajes internacionales, negocios globales o personas que trabajan con múltiples zonas horarias.
Ejemplo de uso: Ajustar la aguja del GMT a la hora del segundo huso horario siendo posible leer dos diferentes zonas horarias al mismo tiempo. - Escala de brújula o compás: Se tienen en la escala los cuatro puntos cardinales, los cuales, en combinación con la posición del sol y las agujas del reloj, permiten la orientación para la navegación básica sin contar con una brújula. Su uso está destinado a exploradores y aventureros para estimar la dirección usando métodos tradicionales adaptados a la relojería.
Ejemplo de uso: Son las 11:00am en La Paz (hemisferio sur) con cielo despejado, alinear las 12 horas del reloj con el sol, encontrar la posición media entre las 12 y las 11:00 y ese punto indicará el norte.
- Escala de regla de cálculo (Slide rule): Basada en reglas logarítmicas, lo que permite convertir el reloj en una calculadora analógica capaz de resolver gran variedad de cálculos: multiplicación, división, conversión de unidades, etc. Cuenta con al menos dos partes: la escala interna fija y la escala externa móvil.
Ejemplo de uso: Para convertir millas a kilómetros partimos de que una milla equivale a 1,60934 kilómetros, entonces movemos el bisel externo móvil al indicador 16 (que serán los kilómetros) y lo alineamos con el bisel interno no movible que representa el valor 10 o 1 (no olvidar que las reglas de cálculo se usan indistintamente sin considerar decimales, decenas, centenas, miles, etc. es así que 1.6 puede ser 16, 160, 1600 o cualquier otra magnitud similar de la misma forma que 10 puede ser 1, 100, 1000, etc.). Para encontrar cuantos kilómetros equivalen 500 millas debemos fijarnos en el valor 5 del bisel interno (por las 500 millas) y encontramos que aproximadamente es 8.04 lo que equivale a 804 kilómetros siendo la respuesta que buscamos. Aclarar que la regla de cálculo entrega valores aproximados no exactos.
Gracias por llegar hasta acá, les presenté 10 escalas con sus clasificaciones realizadas a mi mejor criterio, les agradeceré complementar el hilo si conocen otras escalas adicionales, lo que puede llegar a ser una fuente de consulta para todos los colegas aficionados a los relojes herramientas.
Saludos cordiales desde La Paz, Bolivia.


